B.5. La aplicación de las ecuaciones de la dinámica requiere expresar las componentes de la velocidad y aceleración según un determinado sistema de coordenadas. Las coordenadas cartesianas ortonormales es la elección obvia y más simple pero no siempre son las más adecuadas; esto dependerá de la geometría del problema concreto.. Las ecuaciones de movimiento de un sistema se pueden derivar utilizando el hamiltoniano junto con las ecuaciones de movimiento de Hamilton, es decir, ecuaciones \((8.3.11-8.3.13)\). Formalmente el hamiltoniano se construye a partir del lagrangiano. Eso es. Seleccionar un conjunto de coordenadas generalizadas independientes \(q_{i}\)

Ecuaciones de movimiento coordenadas cilindricas

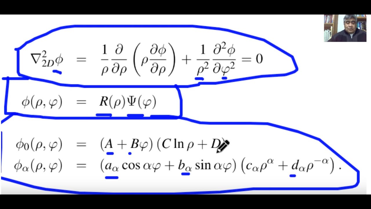
Separación de variables. Ecuación de Laplace en coordenadas polares, solución general. YouTube

PPT TEMA 2 Ecuaciones de variación para sistemas isotérmicos PowerPoint Presentation ID2964770
Ecuaciones de Movimiento Coordenadas Cilíndricas PDF
Demostracion de La Ecuacion de Continuidad en Coordenadas Cilindricasy Esferica Demostración

Ecuaciones de movimiento coordenadas cilindricas

Ecuaciones de movimiento coordenadas cilindricas

SOLUTION Ecuacion de movimiento coordenadas cilindricas Studypool

Ecuaciones de movimiento coordenadas cilindricas

Integrales triples Coordenadas cilíndricas. Ejercicios resueltos YouTube

Ecuaciones de movimiento coordenadas cilindricas

Calaméo Mapa mental Ecuación Del Movimiento En Coordenadas Cartesianas (Dos Dimensiones)

Introducción Coordenadas Cilíndricas YouTube

Coordenadas cilíndricas, diferencial de volumen, área y longitud YouTube

Ecuaciones del movimiento con coordenadas normales y tangenciales YouTube

Ecuaciones de movimiento coordenadas cilindricas

Coordenadas Cilíndricas Convertir coordenadas cartesianas a coordenadas cilíndricas y

Ecuación de transmisión de calor por coordenadas cilíndricas UPV YouTube

Ecuaciones de movimiento coordenadas cilindricas

separación de variables en coordenadas cilíndricas 06 YouTube
Se presenta el balance de momentum correspondiente a la sección 2.3 del libro Fenómenos de Transporte, obteniendo el perfil de velocidad.. Las coordenadas cilíndricas son definidas como un sistema de coordenadas tridimensional alterno al sistema cartesiano. Las coordenadas cilíndricas son escritas en la forma ( r, θ, z ), en donde, r representa a la distancia desde el origen hasta el punto en el plano xy , θ representa al ángulo formado con respecto al eje x y z es el.